Lecture 5
Let’s group all the parameters (weights and biases) of a network into a single vector \({\bf \theta}\)
We wish to find the minima of a function \(f({\theta}): \mathbb{R}^D \rightarrow \mathbb{R}\).
We already discussed gradient descent, but …
We wish to find the minima of a function \(f({\theta}): \mathbb{R}^D \rightarrow \mathbb{R}\).
We already discussed gradient descent, but …
Visualizing optimization problems in high dimensions is challenging. Intuitions that we get from 1D and 2D optimization problems can be helpful.
In 1D and 2D, we can visualize \(f\) by drawing plots, e.g. surface plots and contour plots
Q: Sketch a contour plot that represents the same function as the figure above.
Q: Sketch a contour plot that represents the same function as the figure above.
Q: Where are the 4 local minima in this contour plot?
Suppose we have a function \(f({\theta}): \mathbb{R}^1 \rightarrow \mathbb{R}\) that we wish to minimize. How do we go about doing this?
\(\theta \rightarrow \theta - \alpha f'(\theta)\)
Gradient descent and other techniques all are founded on approximating \(f\) with its Taylor series expansion:
\[\begin{align*} f(\theta) \approx f(\theta_0) + f'(\theta_0)^T(\theta - \theta_0) + \frac{1}{2} (\theta - \theta_0)^2 f''(\theta_0) + \ldots \end{align*}\]
Understanding this use of the Taylor series approximation helps us understand more involved optimization techniques that use higher-order derivatives.
Suppose we have a function \(f({\theta}): \mathbb{R}^D \rightarrow \mathbb{R}\) that we wish to minimize.
Again, we can explore approximating \(f\) with its Taylor series expansion:
\[\begin{align*} f(\theta) \approx f(\theta_0) + \nabla f(\theta_0)^T(\theta - \theta_0) + \frac{1}{2} (\theta - \theta_0)^T H(\theta_0) (\theta - \theta_0) + \ldots \end{align*}\]
Gradient descent uses first-order information, but other optimization algorithms use some information about the Hessian.
The gradient of a function \(f({\theta}): \mathbb{R}^D \rightarrow \mathbb{R}\) is the vector of partial derivatives:
\[\begin{align*} \nabla_{\theta} f = \frac{\partial f}{\partial {\theta}} = \begin{bmatrix} \frac{\partial f}{\partial \theta_1} \\ \frac{\partial f}{\partial \theta_2} \\ \vdots \\ \frac{\partial f}{\partial \theta_D} \\ \end{bmatrix} \end{align*}\]
The Hessian Matrix, denoted \({\bf H}\) or \(\nabla^2 f\) is the matrix of second derivatives
\[\begin{align*} H = \nabla^2 f = \begin{bmatrix} \frac{\partial^2 f}{\partial \theta_1^2} & \frac{\partial^2 f}{\partial \theta_1 \partial \theta_2} & \dots & & \frac{\partial^2 f}{\partial \theta_1 \partial \theta_D} \\ \frac{\partial^2 f}{\partial \theta_1 \partial \theta_2} & \frac{\partial^2 f}{\partial \theta_2^2} & \dots & & \frac{\partial^2 f}{\partial \theta_2 \partial \theta_D} \\ \vdots \frac{\partial^2 f}{\partial \theta_n \partial \theta_2} & \frac{\partial^2 f}{\partial \theta_n \partial \theta_2} & \dots & & \frac{\partial^2 f}{\partial \theta_D^2} \\ \end{bmatrix} \end{align*}\]
The Hessian is symmetric because \(\frac{\partial^2 f}{\partial \theta_i \partial \theta_j} = \frac{\partial^2 f}{\partial \theta_j \partial \theta_i}\)
Recall the second-order Taylor series expansion of \(f\):
\[\begin{align*} f(\theta) \approx f(\theta_0) + \nabla f(\theta_0)^T(\theta - \theta_0) + \frac{1}{2} (\theta - \theta_0)^T H(\theta_0) (\theta - \theta_0) \end{align*}\]
A critical point of \(f\) is a point where the gradient is zero, so that
\[\begin{align*} f(\theta) \approx f(\theta_0) + \frac{1}{2} (\theta - \theta_0)^T H(\theta_0) (\theta - \theta_0) \end{align*}\]
A critical point of \(f\) is a point where the gradient is zero, so that
\[\begin{align*} f(\theta) \approx f(\theta_0) + \frac{1}{2} (\theta - \theta_0)^T H(\theta_0) (\theta - \theta_0) \end{align*}\]
How do we know if the critical point is a maximum, minimum, or something else?
\[\begin{align*} f(\theta) \approx f(\theta_0) + f'(\theta_0)^T(\theta - \theta_0) + \frac{1}{2} (\theta - \theta_0)^2 f''(\theta_0) + \ldots \end{align*}\]
We won’t go into details in this course, but…
In Gradient Descent, we approximate \(f\) with its first-order Taylor approximation. In other words, we are using first-order information in our optimization procedure.
An area of research known as second-order optimization develops algorithms which explicitly use curvature information (the Hessian \(H\)), but these are complicated and difficult to scale to large neural nets and large datasets.
But before we get there…
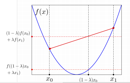
Linear regression and logistic regressions are convex problems—i.e. its loss function is convex.
A function \(f\) is convex if for any \(a \in (0, 1)\)
\[f(ax + (1 - a) y) < af(x) + (1-a)f(y)\]
How do we know if a function \(f: \mathbb{R} \rightarrow \mathbb{R}\) is convex?
When \(f''(x)\) is positive everywhere!
Likewise, analyzing the Hessian matrix \(H\) tells us whether a function \(f: \mathbb{R}^D \rightarrow \mathbb{R}\) is convex. (Hint: \(H\) needs to have only positive eigenvalues)
In general, neural networks are not convex.
One way to see this is that neural networks have weight space symmetry:

Video: Convexity of MLP
Even though any multilayer neural net can have local optima, we usually don’t worry too much about them.
It’s possible to construct arbitrarily bad local minima even for ordinary classification MLPs. It’s poorly understood why these don’t arise in practice.
Over the past 5 years or so, CS theorists have made lots of progress proving gradient descent converges to global minima for some non-convex problems, including some specific neural net architectures.
A saddle point has \(\nabla_\theta \mathcal{E} = {\bf 0}\), even though we are not at a minimum.
Minima with respect to some directions, maxima with respect to others. In other words, \(H\) has some positive and some negative eigenvalues.
A saddle point has \(\nabla_\theta \mathcal{E} = {\bf 0}\), even though we are not at a minimum.
Minima with respect to some directions, maxima with respect to others. In other words, \(H\) has some positive and some negative eigenvalues.
When would saddle points be a problem?
\[\begin{align*} \overline{{\bf y}} &= \overline{\mathcal{L}}({\bf y} - {\bf t}) \\ \overline{W^{(2)}} &= \overline{{\bf y}}{\bf h}^T \\ \overline{{\bf h}} &= {W^{(2)}}^T \overline{{\bf y}} \\ \overline{{\bf z}} &= \overline{{\bf h}} \circ \sigma^\prime({\bf z}) \\ \overline{W^{(1)}} &= \overline{{\bf z}} {\bf x}^T \end{align*}\]
Solution: don’t initialize all your weights to zero!
Instead, break the symmetry by using small random values.
We initialize the weights by sampling from a random normal distribution with:
fan_in is the number of input neurons that feed into this feature. (He et al. 2015)A flat region in the cost is called a plateau. (Plural: plateaux)

Can you think of examples?
An important example of a plateau is a saturated unit. This is when activations always end up in the flat region of its activation function. Recall the backprop equation for the weight derivative:
Lots of sloshing around the walls, only a small derivative along the slope of the ravine’s floor.
Suppose we have the following dataset for linear regression.
| \(x_1\) | \(x_2\) | \(t\) |
|---|---|---|
| 1003.2 | 1005.1 | 3.3 |
| 1001.1 | 1008.2 | 4.8 |
| 998.3 | 1003.4 | 2.9 |
To help avoid these problems, it’s a good idea to center or normalize your inputs to zero mean and unit variance, especially when they’re in arbitrary units (feet, seconds, etc.).
Hidden units may have non-centered activations, and this is harder to deal with.
A recent method called batch normalization explicitly centers each hidden activation. It often speeds up training by 1.5-2x.
Idea: Normalize the activations per batch during training, so that the activations have zero mean and unit variance.
What about during test time (i.e. during model evaluation)?
https://play.library.utoronto.ca/watch/3e2b87ac8e5730f404893ce9270b4b75
Momentum is a simple and highly effective method to deal with narrow ravines. Imagine a hockey puck on a frictionless surface (representing the cost function). It will accumulate momentum in the downhill direction:
\[\begin{align*} {\bf p} &\gets \mu {\bf p} - \alpha \frac{\partial \mathcal{E}}{\partial \theta} \\ \theta &\gets \theta + {\bf p} \end{align*}\]
Q: Which trajectory has the highest/lowest momentum setting?


An area of research known as second-order optimization develops algorithms which explicitly use curvature information (the Hessian \(H\)), but these are complicated and difficult to scale to large neural nets and large datasets.
But can we use just a bit of second-order information?
SGD takes large steps in directions of high curvature and small steps in directions of low curvature.
RMSprop is a variant of SGD which rescales each coordinate of the gradient to have norm 1 on average. It does this by keeping an exponential moving average \(s_j\) of the squared gradients.
The following update is applied to each coordinate j independently: \[\begin{align*} s_j &\leftarrow (1-\gamma)s_j + \gamma \left(\frac{\partial \mathcal{J}}{\partial \theta_j}\right)^2 \\ \theta_j &\leftarrow \theta_j - \frac{\alpha}{\sqrt{s_j + \epsilon}} \frac{\partial \mathcal{J}}{\partial \theta_j} \end{align*}\]
If the eigenvectors of the Hessian are axis-aligned (dubious assumption) then RMSprop can correct for the curvature. In practice, it typically works slightly better than SGD.
Adam = RMSprop + momentum
Adam is the most commonly used optimizer for neural network
The learning rate \(\alpha\) is a hyperparameter we need to tune. Here are the things that can go wrong in batch mode:

| \(\alpha\) too small | \(\alpha\) too large | \(\alpha\) much too large |
|---|---|---|
| slow progress | oscillations | instability |
Batch gradient descent moves directly downhill. SGD takes steps in a noisy direction, but moves downhill on average.
| batch gradient descent | stochastic gradient descent |
|---|---|
![]() |
![]() |
In stochastic training, the learning rate also influences the fluctuations due to the stochasticity of the gradients.
The tradeoff between smaller vs larger batch size
\[\begin{align*} Var\left[\frac{1}{S} \sum_{i=1}^S \frac{\partial \mathcal{L}^{(i)}}{\partial \theta_j}\right] &= \frac{1}{S^2} Var \left[\sum_{i=1}^S \frac{\partial \mathcal{L}^{(i)}}{\partial \theta_j} \right] \\ &= \frac{1}{S} Var \left[\frac{\partial \mathcal{L}^{(i)}}{\partial \theta_j} \right] \end{align*}\]
Larger batch size implies smaller variance, but at what cost?
To diagnose optimization problems, it’s useful to look at learning curves: plot the training cost (or other metrics) as a function of iteration.
You might want to check out these links.
An overview of gradient descent algorithms:
CS231n:
Why momentum really works: