Lecture 8
Sometimes we’re interested in making predictions about data in the form of sequences. Some examples are:
This last example is a sequence-to-sequence prediction task, because both inputs and outputs are sequences.
We have already seen neural language models that make the Markov Assumption:
\[p(w_i | w_1, \ldots, w_{i-1}) = p(w_i | w_{i-3}, w_{i-2}, w_{i-1})\]
This means the model is memoryless, so it can only use information from its immediate context.
But sometimes long-distance context can be important.
If we add connections between the hidden units, it becomes a recurrent neural network (RNN).
Having a memory lets an RNN use longer-term dependencies:
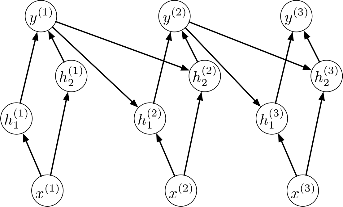
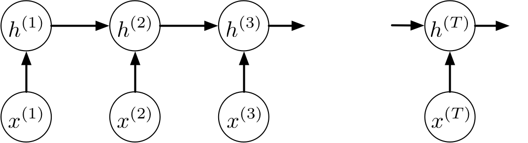
We can think of an RNN as a dynamical system with one set of hidden units which feed into themselves. The network’s graph would then have self-loops.
We can unroll the RNN’s graph by explicitly representing the units at all time steps. The weights and biases are shared between all time steps
Let’s go through a few examples of very simple RNNs to understand how RNNs compute predictions.
This simple RNN takes a sequence of numbers as input (scalars), and sums its inputs.
This RNN takes a sequence of pairs of numbers as input, and determines if the total values of the first or second input are larger:
Assume we have a sequence of binary inputs. We’ll consider how to determine the parity, i.e. whether the number of 1’s is even or odd. We can compute parity incrementally by keeping track of the parity of the input so far:
| Parity bits: | Input: | |
|---|---|---|
| 0 1 1 0 1 1 | \(\longrightarrow\) | 0 1 0 1 1 0 1 0 1 1 |
Each parity bit is the XOR of the input and the previous parity bit. Parity is a classic example of a problem that’s hard to solve with a shallow feed-forward net, but easy to solve with an RNN.
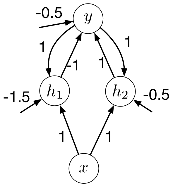
Let’s find weights and biases for the RNN on the right so that it computes the parity. All hidden and output units are binary threshold units (\(h(x) = 1\) if \(x > 0\) and \(h(x) = 0\) otherise).
Strategy
The output unit should compute the XOR of the current input and previous output:
| \(y^{(t-1)}\) | \(x^{(t)}\) | \(y^{(t)}\) |
|---|---|---|
| 0 | 0 | 0 |
| 0 | 1 | 1 |
| 1 | 0 | 1 |
| 1 | 1 | 0 |
Let’s use hidden units to help us compute XOR.
| \(y^{(t-1)}\) | \(x^{(t)}\) | \(h_1^{(t)}\) | \(h_2^{(t)}\) | \(y^{(t)}\) |
|---|---|---|---|---|
| 0 | 0 | 0 | 0 | 0 |
| 0 | 1 | 0 | 1 | 1 |
| 1 | 0 | 0 | 1 | 1 |
| 1 | 1 | 1 | 1 | 0 |
As you can guess, we don’t usually set RNN weights by hand. Instead, we learn them using backprop.
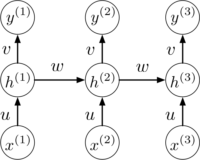
In particular, we do backprop on the unrolled network. This is known as backprop through time.
Here’s the unrolled computation graph. Notice the weight sharing.
In 2014, Google researchers built an encoder-decoder RNN that learns to execute simple Python programs, one character at a time! https://arxiv.org/abs/1410.4615

RNNs are good at learning complex syntactic structures: generate Algebraic Geometry LaTex source files that almost compiles:
Usually, the sequence of inputs \(x_t\) will be vectors. The hidden states \(h_t\) are also vectors.
For example, we might use a sequence of one-hot vectors \({\bf x}_t\) of words (or characters) to represent a sentence. (What else can we use?)
How would we use a RNN to determine (say) the sentiment conveyed by the sentence?
As usual, start with the forward pass…
Start with an initial hidden state with a blank slate (can be a vector of all zeros, or a parameter that we train)
Compute the first hidden state based on the initial hidden state, and the input (the one-hot vector \({\bf x}_1\) of the first word).
Update the hidden state based on the subsequent inputs. Note that we are using the same weights to perform the update each time.
Continue updating the hidden state until we run out of words in our sentence.
Use the last hidden state as input to a prediction network, usually a MLP.
Alternative: take the max-pool and average-pool over all computed hidden states.
Lab: let’s build this model!
Dataset of tweets with either a positive or negative emoticon, but with the emoticon removed.
Input: Tweet (sequence of words/characters)
Target: Positive or negative emoticon?
Example:
nn.RNN module, which can be unintuitiveRecall the unrolled computation graph for a small RNN:
Activations: \[\begin{align*} \overline{\mathcal{L}} &= 1 \\ \overline{y^{(t)}} &= \overline{\mathcal{L}} \, \frac{\partial \mathcal{L}}{\partial y^{(t)}} \\ \overline{r^{(t)}} &= \overline{y^{(t)}} \, \phi^\prime(r^{(t)}) \\ {\color{magenta} \overline{h^{(t)}}} & {\color{magenta}\, = \overline{r^{(t)}} \, v + \overline{z^{(t+1)}} \, w} \\ \overline{z^{(t)}} &= \overline{h^{(t)}} \, \phi^\prime(z^{(t)}) \end{align*}\]
Parameters: \[\begin{align*} {\color{magenta} \overline{u}} &{\color{magenta} \, = \sum_t \overline{z^{(t)}} \, x^{(t)}} \\ {\color{magenta} \overline{v}} &{\color{magenta} \,= \sum_t \overline{r^{(t)}} \, h^{(t)}} \\ {\color{magenta} \overline{w}} &{\color{magenta} \,= \sum_t \overline{z^{(t+1)}} \, h^{(t)}} \end{align*}\]
Key idea: multivariate chain rule!
The longer your sequence, the longer gap the time step between when we see potentially important information and when we need it:
The derivatives need to travel this entire pathway.
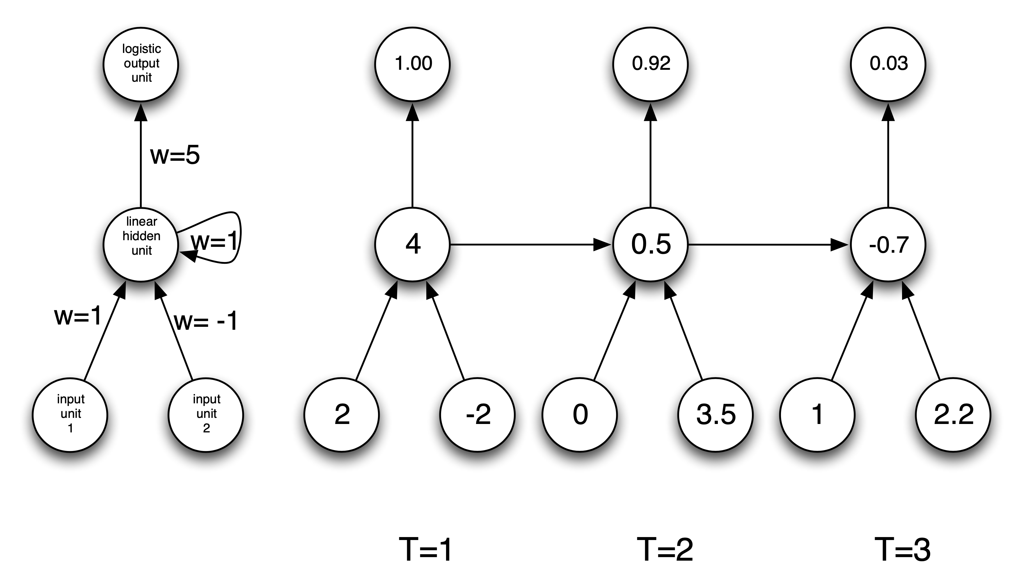
Consider a univariate version of the RNN:
Backpropagation updates: \[\begin{align*} \overline{h^{(t)}} &= \overline{z^{(t+1)}} \, w \\ \overline{z^{(t)}} &= \overline{h^{(t)}} \, \phi^\prime(z^{(t)}) \end{align*}\]
Applying this recursively: \[\begin{align*} \overline{h^{(1)}} = w^{T-1} \phi^\prime(z^{(2)}) \cdots \phi^\prime(z^{(T)}) \overline{h^{(T)}} \end{align*}\]
With linear activations: \[\frac{\partial h^{(T)}}{\partial h^{(1)}} = w^{T-1}\]
\[\textbf{Exploding:} \qquad w=1.1, T=50 \Rightarrow \frac{\partial h^{(T)}}{\partial h^{(1)}} = 117.4\]
\[\textbf{Vanishing:} \qquad w=0.9, T=50 \Rightarrow \frac{\partial h^{(T)}}{\partial h^{(1)}} = 0.00515\]
More generally, in the multivariate case, the Jacobians multiply:
\[\frac{\partial {\bf h}^{(T)}}{\partial {\bf h}^{(1)}} = \prod_{t = 1}^{T - 1} \frac{\partial {\bf h}^{(t + 1)}}{\partial {\bf h}^{(t)}}\]
Matrices can “explode” or “vanish” just like scalar values, though it’s slightly harder to make precise.
Another way to look at why gradients explode or vanish is that we are applying a function over and over again.
Each hidden layer computes some function of previous hidden layer and the current input: \({\bf h}^{(t)} = f({\bf h}^{(t-1)}, {\bf x}^{(t)})\)
This function gets repeatedly applied:
\[\begin{align*} {\bf h}^{(4)} &= f({\bf h}^{(3)}, {\bf x}^{(4)}) \\ &= f(f({\bf h}^{(2)}, {\bf x}^{(3)}), {\bf x}^{(4)}) \\ &= f(f(f({\bf h}^{(1)}, {\bf x}^{(2)}), {\bf x}^{(3)}), {\bf x}^{(4)}) \end{align*}\]
We get complicated behaviour from iterated functions. Consider \(f(x) = 3.5x(1-x)\)
\(y = f(x)\)

\(y = f(f(x))\)

\(y = f^{\circ 3}(x)\)

\(y = f^{\circ 6}(x)\)

Note that the function values gravitate towards fixed points, and that the derivatives becomes either very large or very small.
More concretely, consider an RNN with a tanh activation function:
The function computed by the network:
Repeatedly applying a function adds a new type possible loss landscape: cliffs, where the gradient of the loss with respect to a parameter is either close to 0, or very large.
Generally, the gradient will explode on some inputs and vanish on others. In expectation, the cost may be fairly smooth.
One solution is to “clip” the gradient so that it has a norm of at most \(\eta\). Otherwise, update the gradient \({\bf g}\) with \({\bf g} \leftarrow \eta\frac{{\bf g}}{||{\bf g}||}\)
The gradients are biased, but at least they don’t blow up:
Gradient clipping solves the exploding gradient problem, but not the vanishing gradient problem.
Idea: Initialization
Hidden units are a kind of memory. Their default behaviour should be to keep their previous value.
If the function \({\bf h}^{(t)} = f({\bf h}^{(t-1)}, {\bf x}^{(t)})\) is close to the identity, then the gradient computations \(\displaystyle \frac{\partial {\bf h}^{(t)}}{\partial {\bf h}^{(t-1)}}\) are stable.
This initialization allows learning much longer-term dependencies than “vanilla” RNNs
Change the architecture of the recurrent neural network by replacing each single unit in an RNN by a “memory block”:
In each step, we have a vector of memory cells \({\bf c}\), a vector of hidden units \({\bf h}\) and vectors of input, output, and forget gates \({\bf i}\), \({\bf o}\), and \({\bf f}\).
There’s a full set of connections from all the inputs and hiddens to the inputs and all of the gates:
\[ \begin{pmatrix} \bf{i}_t \\ \bf{f}_t \\ \bf{o}_t \\ \bf{g}_t \\ \end{pmatrix} = \begin{pmatrix} \sigma \\ \sigma \\ \sigma \\ \tanh \end{pmatrix} {\bf W} \begin{pmatrix} {\bf x}_t \\ {\bf h}_{t - 1} \end{pmatrix} \]
\[\begin{align*} {\bf c_t } &= {\bf f_t } \circ {\bf c_{t-1} } + {\bf i_t } \circ {\bf g_t } \\ {\bf h_t } &= {\bf o_t } \circ \tanh({\bf c_t }) \end{align*}\]
Exercise: show that if \({\bf f}_{t+1} = 1\), \({\bf i}_{t+1} = 0\), and \({\bf o}_{t} = 0\), then the gradient of the memory cell gets passed through unmodified, i.e., \(\bar{{\bf c}_t} = \bar{{\bf c}_{t+1}}\).
You should be able to understand…
RNN For Prediction:
RNN For Generation:
RNN for Prediction:
RNN for Generation:
Unlike other models we discussed so far, the training time behaviour of Generative RNNs will be different from the test time behaviour
Test time behaviour at each time step:
During training, we try to get the RNN to generate one particular sequence in the training set. At each time step:
Q1: What kind of a problem is this? (regression or classification?)
Q2: What loss function should we use during training?
Continue until we get to the “<EOS>” (end of string) token
Another approach is to model text one character at a time
This solves the problem of what to do about previously unseen words.
Note that long-term memory is essential at the character level!
Say we want to translate, e.g. English to French sentences.
We have pairs of translated sentences to train on.
Here, both the inputs and outputs are sequences!
What can we do?

The network first reads and memorizes the sentences.
When it sees the “end token”, it starts outputting the translation.
The “encoder” and “decoder” are two different networks with different weights.